Limit Fungsi
Pengertian
Pengertian secara intuisi
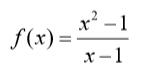
perhatikan fungsi
fungsi diatas tidak terdefinisi di x=1 , karena di titik tersebut f(x) berbentuk 0/0. tapi masih bisa dinyatakan berapa nilai f(x) jika x mendekati 1. perhatikan tabel berikut ini
Secara Grafik
Dari tabel dan grafik diatas terlihat bahwa f(x) mendekati 2 jika x mendekati 1. Secara sistematis dapat dituliskan sebagai berikut,
dibaca "limit dari
Limit Kiri dan Limit Kanan
Jika x menuju C dari arah kiri (dari arah bilangan yang lebih kecil dari c, limit tersebut adalah limit kiri, notasi
Jika x menuju c dari atah kanan (dari arah bilangan yang lebih besar dari c, limit tersebut adalah limit kanan, notasi
hubungan lantara limit dengan limit sepihak (kiri/kanan)
Contoh
jawab
a) karena aturan fungsi berubah di x=0, maka perlu dicari limit kiri dan limit kanan di x=0
b) karena aturan fungsi berubag di x=1 maka perlu dicari limit kiri dan limit kanan di x=1
c) karena aturang fungsi tidak berubah di x=2, maka tidak perlu dicari limit kiti dan limit kanan di x=2
YUK KERJAIN SOAL DIBAWAH INI :)
isi nama, lalu tinggal pilih jawaban dan pencet next sampe selesai!
diaatas nilai 70 dapert sertifikat looh

















Komentar
Posting Komentar